
最近在重新回顾深度学习相关基础,之前大概过了一遍李沐的动手学深度学习,但很多内容还一知半解, 感觉网上课程难度曲线还是不太平滑。
无意间看到 Coursera平台,在淘宝上花了80买了个半年号,仿佛打开新世界了,第一次看到了原来真的有课程能把深度学习的学习曲线 弄的这么平滑的,爱了,有点像算法竞赛的acwing、牛客。感觉b站确实不错,但是反馈和互动肯定远远比不上Coursera的。
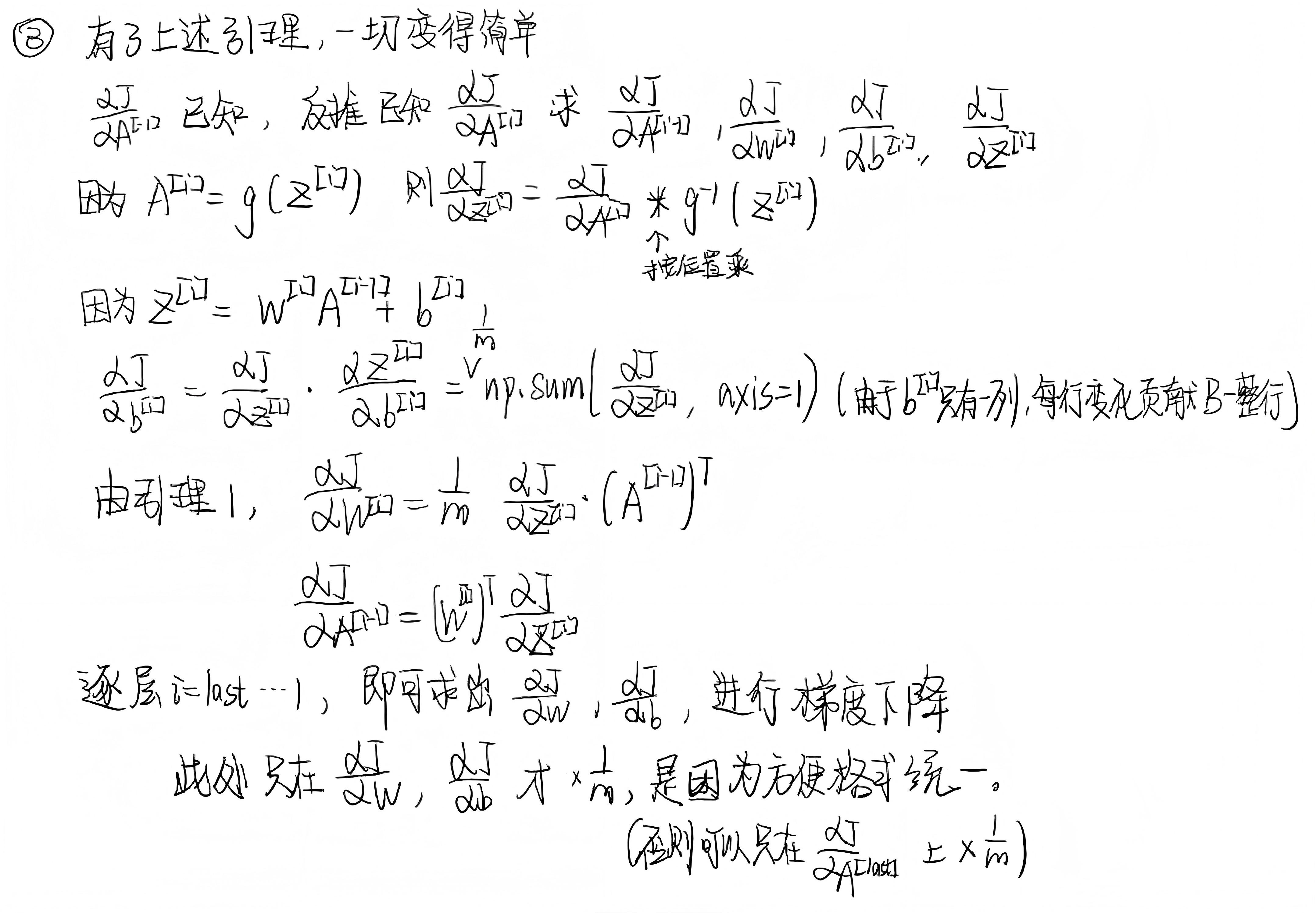
现在刚学完第一门课程,并手动设计并实现了多层卷积神经网络(只用到numpy),在这里记录一下forward/back propagation的数学知识(主要是线性代数)。
正向传播

非常简单易懂,就是矩阵乘法。
反向传播
引理一


搞懂这个引理反向传播就差不多弄懂了,求哪个偏导,固定某行/列值算贡献 就好求了(A固定行,B固定列),因为矩阵乘法是B的列与A的行做点积。

以上就是神经网络里的线性代数的一些知识,其实不需要太多基础弄得矩阵乘法,和求导链式法则即可手写神经网络。
感谢您的耐心阅读!来选个表情,或者留个评论吧!